<!DOCTYPE html>
    <html lang="vi" xmlns="http://www.w3.org/1999/xhtml" prefix="og: http://ogp.me/ns#">
    <head>
<title>UBND XÃ PHƯỚC SƠN THÔNG BÁO VỀ VIỆC BÀN GIAO MẶT BẰNG PHỤC VỤ DỰ ÁN CAO TỐC BẮC – NAM PHÍA TÂY</title>
<meta name="description" content="UBND XÃ PHƯỚC SƠN THÔNG BÁO VỀ VIỆC BÀN GIAO MẶT BẰNG PHỤC VỤ DỰ ÁN CAO TỐC BẮC – NAM PHÍA TÂY - Savefile - Tin Tức -...">
<meta name="author" content="UBND xã Phước Sơn">
<meta name="copyright" content="UBND xã Phước Sơn [webmaster@vinades.vn]">
<meta name="generator" content="NukeViet v4.5">
<meta name="viewport" content="width=device-width, initial-scale=1">
<meta http-equiv="Content-Type" content="text/html; charset=utf-8">
<meta property="og:title" content="UBND XÃ PHƯỚC SƠN THÔNG BÁO VỀ VIỆC BÀN GIAO MẶT BẰNG PHỤC VỤ DỰ ÁN CAO TỐC BẮC – NAM PHÍA TÂY">
<meta property="og:type" content="website">
<meta property="og:description" content="Savefile - Tin Tức -...">
<meta property="og:site_name" content="UBND xã Phước Sơn">
<meta property="og:url" content="https://phuocson.dongnai.gov.vn/vi/news/savefile/hoat-dong-chinh-quyen-nha-nuoc/ubnd-xa-phuoc-son-thong-bao-ve-viec-ban-giao-mat-bang-phuc-vu-du-an-cao-toc-bac-nam-phia-tay-183.html">
<link rel="shortcut icon" href="https://phuocson.dongnai.gov.vn/uploads/phuocson/logo_1.png">
<link rel="canonical" href="https://phuocson.dongnai.gov.vn/vi/news/savefile/hoat-dong-chinh-quyen-nha-nuoc/ubnd-xa-phuoc-son-thong-bao-ve-viec-ban-giao-mat-bang-phuc-vu-du-an-cao-toc-bac-nam-phia-tay-183.html">
<link rel="alternate" href="https://phuocson.dongnai.gov.vn/vi/news/rss/" title="Tin Tức" type="application/rss+xml">
<link rel="alternate" href="https://phuocson.dongnai.gov.vn/vi/news/rss/thong-tin-chi-dao-dieu-hanh/" title="Tin Tức - Thông tin chỉ đạo điều hành" type="application/rss+xml">
<link rel="alternate" href="https://phuocson.dongnai.gov.vn/vi/news/rss/hoat-dong-dang-uy/" title="Tin Tức - Hoạt động Đảng uỷ" type="application/rss+xml">
<link rel="alternate" href="https://phuocson.dongnai.gov.vn/vi/news/rss/hoat-dong-chinh-quyen-nha-nuoc/" title="Tin Tức - Hoạt động chính quyền nhà nước" type="application/rss+xml">
<link rel="alternate" href="https://phuocson.dongnai.gov.vn/vi/news/rss/thong-tin-du-lich/" title="Tin Tức - Hoạt động Hội đồng nhân dân" type="application/rss+xml">
<link rel="alternate" href="https://phuocson.dongnai.gov.vn/vi/news/rss/cai-cach-hanh-chinh/" title="Tin Tức - Cải cách hành chính" type="application/rss+xml">
<link rel="alternate" href="https://phuocson.dongnai.gov.vn/vi/news/rss/an-ninh-quoc-phong/" title="Tin Tức - An ninh - quốc phòng" type="application/rss+xml">
<link rel="alternate" href="https://phuocson.dongnai.gov.vn/vi/news/rss/kinh-te-moi-truong/" title="Tin Tức - Kinh tế - Môi trường" type="application/rss+xml">
<link rel="alternate" href="https://phuocson.dongnai.gov.vn/vi/news/rss/tra-loi-kien-nghi-cua-to-chuc-ca-nhan/" title="Tin Tức - Trả lời kiến nghị của tổ chức, cá nhân" type="application/rss+xml">
<link rel="alternate" href="https://phuocson.dongnai.gov.vn/vi/news/rss/van-hoa-xa-hoi/" title="Tin Tức - Văn hoá - Xã hội" type="application/rss+xml">
<link rel="alternate" href="https://phuocson.dongnai.gov.vn/vi/news/rss/thong-bao/" title="Tin Tức - Thông báo" type="application/rss+xml">
<link rel="alternate" href="https://phuocson.dongnai.gov.vn/vi/news/rss/xay-dung-dang-doan-the/" title="Tin Tức - Xây dựng Đảng - Đoàn thể" type="application/rss+xml">
<link rel="alternate" href="https://phuocson.dongnai.gov.vn/vi/news/rss/lich-lam-viec/" title="Tin Tức - Lịch làm việc" type="application/rss+xml">
<link rel="alternate" href="https://phuocson.dongnai.gov.vn/vi/news/rss/thong-tin-tuyen-truyen/" title="Tin Tức - Thông tin tuyên truyền" type="application/rss+xml">
<link rel="alternate" href="https://phuocson.dongnai.gov.vn/vi/news/rss/chuyen-doi-so-nghi-quyet-57-nq-tw/" title="Tin Tức - Chuyển đổi số - Nghị quyết 57-NQ&#x002F;TW" type="application/rss+xml">
<link rel="alternate" href="https://phuocson.dongnai.gov.vn/vi/news/rss/bo-thu-tuc-hanh-chinh/" title="Tin Tức - Bộ thủ tục hành chính" type="application/rss+xml">
<link rel="alternate" href="https://phuocson.dongnai.gov.vn/vi/news/rss/hoi-dong-nhan-dan/" title="Tin Tức - HỘI ĐÒNG NHÂN DÂN" type="application/rss+xml">
<link rel="alternate" href="https://phuocson.dongnai.gov.vn/vi/news/rss/tai-lieu-ky-hop/" title="Tin Tức - Tài liệu kỳ họp" type="application/rss+xml">
<link rel="alternate" href="https://phuocson.dongnai.gov.vn/vi/news/rss/bau-cu-dai-bieu-hdnd-nk-2026-2031/" title="Tin Tức - BẦU CỬ ĐẠI BIỂU HĐND NK 2026-2031" type="application/rss+xml">
<link rel="preload" as="style" href="https://phuocson.dongnai.gov.vn/assets/css/font-awesome.min.css" type="text/css">
<link rel="preload" as="style" href="https://phuocson.dongnai.gov.vn/themes/dongnai/css/bootstrap.min.css" type="text/css">
<link rel="preload" as="style" href="https://phuocson.dongnai.gov.vn/themes/dongnai/css/style.css" type="text/css">
<link rel="preload" as="style" href="https://phuocson.dongnai.gov.vn/themes/dongnai/css/style.responsive.css" type="text/css">
<link rel="preload" as="style" href="https://phuocson.dongnai.gov.vn/themes/dongnai/css/news.css" type="text/css">
<link rel="preload" as="style" href="https://phuocson.dongnai.gov.vn/themes/dongnai/css/custom.css" type="text/css">
<link rel="preload" as="style" href="https://phuocson.dongnai.gov.vn/themes/dongnai/css/dongnai.css" type="text/css">
<link rel="preload" as="style" href="https://phuocson.dongnai.gov.vn/themes/dongnai/js/slick/slick.css" type="text/css">
<link rel="preload" as="style" href="https://phuocson.dongnai.gov.vn/themes/dongnai/js/slick/slick-theme.css" type="text/css">
<link rel="preload" as="script" href="https://phuocson.dongnai.gov.vn/assets/js/jquery/jquery.min.js" type="text/javascript">
<link rel="preload" as="script" href="https://phuocson.dongnai.gov.vn/assets/js/language/vi.js" type="text/javascript">
<link rel="preload" as="script" href="https://phuocson.dongnai.gov.vn/assets/js/DOMPurify/purify3.js" type="text/javascript">
<link rel="preload" as="script" href="https://phuocson.dongnai.gov.vn/assets/js/global.js" type="text/javascript">
<link rel="preload" as="script" href="https://phuocson.dongnai.gov.vn/assets/js/site.js" type="text/javascript">
<link rel="preload" as="script" href="https://phuocson.dongnai.gov.vn/themes/dongnai/js/news.js" type="text/javascript">
<link rel="preload" as="script" href="https://phuocson.dongnai.gov.vn/themes/dongnai/js/main.js" type="text/javascript">
<link rel="preload" as="script" href="https://phuocson.dongnai.gov.vn/themes/dongnai/js/custom.js" type="text/javascript">
<link rel="preload" as="script" href="https://phuocson.dongnai.gov.vn/themes/dongnai/js/slick/slick.js" type="text/javascript">
<link rel="preload" as="script" href="https://phuocson.dongnai.gov.vn/themes/dongnai/js/bootstrap.min.js" type="text/javascript">
<link rel="stylesheet" href="https://phuocson.dongnai.gov.vn/assets/css/font-awesome.min.css">
<link rel="stylesheet" href="https://phuocson.dongnai.gov.vn/themes/dongnai/css/bootstrap.min.css">
<link rel="stylesheet" href="https://phuocson.dongnai.gov.vn/themes/dongnai/css/style.css">
<link rel="stylesheet" href="https://phuocson.dongnai.gov.vn/themes/dongnai/css/style.responsive.css">
<link rel="StyleSheet" href="https://phuocson.dongnai.gov.vn/themes/dongnai/css/news.css">
<link rel="stylesheet" href="https://phuocson.dongnai.gov.vn/themes/dongnai/css/custom.css">
<link rel="stylesheet" href="https://phuocson.dongnai.gov.vn/themes/dongnai/css/dongnai.css">
<link rel="stylesheet" href="https://phuocson.dongnai.gov.vn/themes/dongnai/js/slick/slick.css" />
<link rel="stylesheet" href="https://phuocson.dongnai.gov.vn/themes/dongnai/js/slick/slick-theme.css" />
<style>
          :root {
            --theme-banner-red: url('/uploads/phuocson/bghead_red.jpg');
            --theme-banner-yellow: url('/uploads/phuocson/bghead_yellow.jpg');
            --theme-banner-green: url('/uploads/phuocson/bghead_green.jpg');
          }
        </style>
<style type="text/css">
	body{background: #fff;}
</style>
    </head>
    <body data-timestamp="1776691450">
<div id="print">
	<div id="hd_print">
		<h2 class="pull-left">UBND xã Phước Sơn</h2>
		<p class="pull-right"><a title="UBND xã Phước Sơn" href="https://phuocson.dongnai.gov.vn/">https://phuocson.dongnai.gov.vn</a></p>
	</div>
	<div class="clear"></div>
	<hr />
	<div id="content">
		<h1>UBND XÃ PHƯỚC SƠN THÔNG BÁO VỀ VIỆC BÀN GIAO MẶT BẰNG PHỤC VỤ DỰ ÁN CAO TỐC BẮC – NAM PHÍA TÂY</h1>
		<ul class="list-inline">
			<li>Thứ sáu - 31/10/2025 11:59</li>
			<li class="hidden-print txtrequired"><em class="fa fa-print">&nbsp;</em><a title="In ra" href="javascript:;" onclick="window.print()">In ra</a></li>
			<li class="hidden-print txtrequired"><em class="fa fa-power-off">&nbsp;</em><a title="Đóng cửa sổ này" href="javascript:;" onclick="window.close()">Đóng cửa sổ này</a></li>
		</ul>
		<div class="clear"></div>
		<div id="hometext">
		</div>
		<div id="bodytext" class="clearfix">
			<div style="text-align: justify;"><span style="font-size:14pt"><span style="tab-stops:261.75pt"><span style="line-height:120%"><span style="font-family:&#039;Times New Roman&#039;,serif">Thực hiện chủ trương của Nhà nước về công tác <strong data-end="424" data-start="387"><span style="font-weight:normal">bồi thường, hỗ trợ và tái định cư</span></strong><b> </b>phục vụ<b> </b><strong data-end="537" data-start="433"><span style="font-weight:normal">Dự án xây dựng đường cao tốc Bắc – Nam phía Tây, đoạn Gia Nghĩa (Đắk Nông) – Chơn Thành (Bình Phước)</span></strong><b>, </b><strong data-end="560" data-start="539"><span style="font-weight:normal">UBND xã Phước Sơn</span></strong><b> </b>thông báo đến các hộ dân <strong><span style="font-weight:normal">đã được phê duyệt phương án bồi thường (đợt 1)</span></strong>, đề nghị <strong data-end="825" data-start="714"><span style="font-weight:normal">các hộ dân khẩn trương thực hiện việc thu hoạch, tận thu nông sản, di dời tài sản, thanh lý cây trồng và vật kiến trúc</span></strong> trong khu vực giải phóng mặt bằng để <strong data-end="898" data-start="863"><span style="font-weight:normal">bàn giao mặt bằng phục vụ dự án</span></strong><b> </b>đúng tiến độ.</span></span></span></span><br />
<span style="font-size:14pt"><span style="tab-stops:261.75pt"><span style="line-height:120%"><span style="font-family:&#039;Times New Roman&#039;,serif">UBND xã Phước Sơn đề nghị <strong data-end="975" data-start="942"><span style="font-weight:normal">các thôn, ban ngành, đoàn thể</span></strong> phối hợp tuyên truyền, vận động người dân chấp hành chủ trương, chính sách của Nhà nước; đồng thời hướng dẫn, hỗ trợ các hộ dân trong quá trình di dời, thu hoạch, bàn giao mặt bằng.</span></span></span></span><br />
<span style="font-size:14pt"><span style="tab-stops:261.75pt"><span style="line-height:120%"><span style="font-family:&#039;Times New Roman&#039;,serif">Dự án đường cao tốc Bắc – Nam phía Tây là<b> </b><strong data-end="1237" data-start="1203"><span style="font-weight:normal">công trình trọng điểm quốc gia</span></strong>, có ý nghĩa đặc biệt quan trọng trong phát triển hạ tầng giao thông, thúc đẩy phát triển kinh tế – xã hội của địa phương. UBND xã mong muốn bà con nhân dân đồng thuận, chung tay cùng chính quyền địa phương <strong data-end="1490" data-start="1444"><span style="font-weight:normal">thực hiện tốt công tác giải phóng mặt bằng</span></strong>, góp phần sớm hoàn thành dự án theo kế hoạch.</span></span></span></span><br />
<span style="font-size:14pt"><span style="tab-stops:261.75pt"><span style="line-height:120%"><span style="font-family:&#039;Times New Roman&#039;,serif"><strong><span style="font-weight:normal">UBND xã Phước Sơn trân trọng thông báo!</span></strong></span></span></span></span><br />
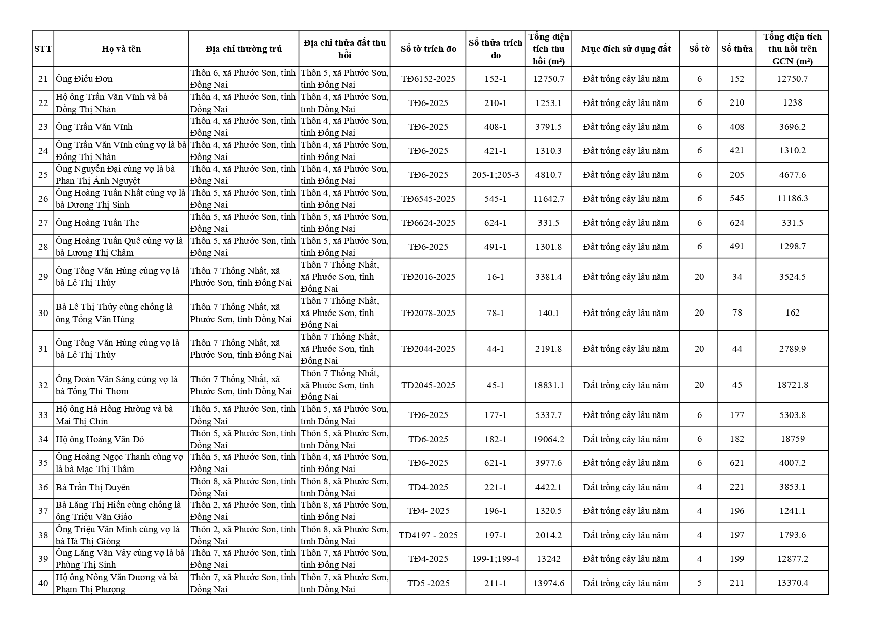
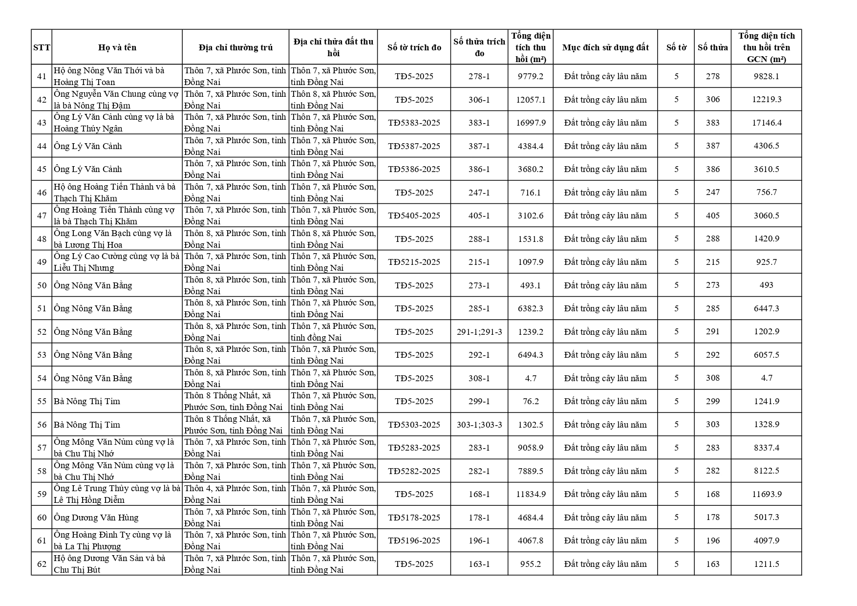
<span style="font-size:14pt"><span style="tab-stops:261.75pt"><span style="line-height:120%"><span style="font-family:&#039;Times New Roman&#039;,serif"><strong><span style="font-weight:normal">Dưới đây là danh sách&nbsp;</span></strong>các hộ dân<b> </b><strong><span style="font-weight:normal">đã được phê duyệt phương án bồi thường (đợt 1)</span></strong></span></span></span></span></div>

<div class="image-center"><img alt="danh sách page 0001" height="848" src="https://phuocson.dongnai.gov.vn/uploads/phuocson/news/2025_10/danh-sach_page-0001.jpg" width="1200" /></div>

<div class="image-center"><img alt="danh sách page 0002" height="848" src="https://phuocson.dongnai.gov.vn/uploads/phuocson/news/2025_10/danh-sach_page-0002.jpg" width="1200" /></div>

<div class="image-center"><img alt="danh sách page 0003" height="848" src="https://phuocson.dongnai.gov.vn/uploads/phuocson/news/2025_10/danh-sach_page-0003.jpg" width="1200" /></div>

<div class="image-center"><img alt="danh sách page 0004" height="848" src="https://phuocson.dongnai.gov.vn/uploads/phuocson/news/2025_10/danh-sach_page-0004.jpg" width="1200" /></div>
		</div>
				<div id="author">
						<p>
				<strong>Tác giả:</strong>
				<a href="https://phuocson.dongnai.gov.vn/vi/news/author/UBND-xa-Phuoc-Son/">UBND xã Phước Sơn</a>
			</p>
		</div>
	</div>
	<div id="footer" class="clearfix">
		<div id="url">
			<strong>URL của bản tin này: </strong><a href="https://phuocson.dongnai.gov.vn/vi/news/savefile/hoat-dong-chinh-quyen-nha-nuoc/ubnd-xa-phuoc-son-thong-bao-ve-viec-ban-giao-mat-bang-phuc-vu-du-an-cao-toc-bac-nam-phia-tay-183.html" title="UBND XÃ PHƯỚC SƠN THÔNG BÁO VỀ VIỆC BÀN GIAO MẶT BẰNG PHỤC VỤ DỰ ÁN CAO TỐC BẮC – NAM PHÍA TÂY">https://phuocson.dongnai.gov.vn/vi/news/savefile/hoat-dong-chinh-quyen-nha-nuoc/ubnd-xa-phuoc-son-thong-bao-ve-viec-ban-giao-mat-bang-phuc-vu-du-an-cao-toc-bac-nam-phia-tay-183.html</a>

		</div>
		<div class="clear"></div>
		<div class="copyright">
			&copy; UBND xã Phước Sơn
		</div>
		<div id="contact">
			<a href="mailto:webmaster@vinades.vn">webmaster@vinades.vn</a>
		</div>
	</div>
</div>
        <div id="timeoutsess" class="chromeframe">
            Bạn đã không sử dụng Site, <a onclick="timeoutsesscancel();" href="https://phuocson.dongnai.gov.vn/#">Bấm vào đây để duy trì trạng thái đăng nhập</a>. Thời gian chờ: <span id="secField"> 60 </span> giây
        </div>
        <div id="openidResult" class="nv-alert" style="display:none"></div>
        <div id="openidBt" data-result="" data-redirect=""></div>
<div id="run_cronjobs" style="visibility:hidden;display:none;"><img alt="cron" src="/index.php?second=cronjobs&amp;p=m9Q9avEp" width="1" height="1" /></div>
<script src="https://phuocson.dongnai.gov.vn/assets/js/jquery/jquery.min.js"></script>
<script>var nv_base_siteurl="/",nv_lang_data="vi",nv_lang_interface="vi",nv_name_variable="nv",nv_fc_variable="op",nv_lang_variable="language",nv_module_name="news",nv_func_name="savefile",nv_is_user=0, nv_my_ofs=7,nv_my_abbr="+07",nv_cookie_prefix="nv4c_Cgoz3",nv_check_pass_mstime=1738000,nv_area_admin=0,nv_safemode=0,theme_responsive=1,nv_recaptcha_ver=2,nv_recaptcha_sitekey="6LfeOC0pAAAAAJwjpRdjkULWldWUIrnKJUng5KHz",nv_recaptcha_type="image",XSSsanitize=1;</script>
<script src="https://phuocson.dongnai.gov.vn/assets/js/language/vi.js"></script>
<script src="https://phuocson.dongnai.gov.vn/assets/js/DOMPurify/purify3.js"></script>
<script src="https://phuocson.dongnai.gov.vn/assets/js/global.js"></script>
<script src="https://phuocson.dongnai.gov.vn/assets/js/site.js"></script>
<script src="https://phuocson.dongnai.gov.vn/themes/dongnai/js/news.js"></script>
<script src="https://phuocson.dongnai.gov.vn/themes/dongnai/js/main.js"></script>
<script src="https://phuocson.dongnai.gov.vn/themes/dongnai/js/custom.js"></script>
<script src="https://phuocson.dongnai.gov.vn/themes/dongnai/js/slick/slick.js"></script>
<script type="application/ld+json">
        {
            "@context": "https://schema.org",
            "@type": "Organization",
            "url": "https://phuocson.dongnai.gov.vn",
            "logo": "https://phuocson.dongnai.gov.vn/uploads/phuocson/logo_1.png"
        }
        </script>
<script type="text/javascript">
            var nv_site_theme = 'dongnai';
        </script>
<script src="https://phuocson.dongnai.gov.vn/themes/dongnai/js/bootstrap.min.js"></script>
</body>
</html>