Thực hiện chủ trương của Nhà nước về công tác bồi thường, hỗ trợ và tái định cư phục vụ Dự án xây dựng đường cao tốc Bắc – Nam phía Tây, đoạn Gia Nghĩa (Đắk Nông) – Chơn Thành (Bình Phước), UBND xã Phước Sơn thông báo đến các hộ dân đã được phê duyệt phương án bồi thường (đợt 1), đề nghị các hộ dân khẩn trương thực hiện việc thu hoạch, tận thu nông sản, di dời tài sản, thanh lý cây trồng và vật kiến trúc trong khu vực giải phóng mặt bằng để bàn giao mặt bằng phục vụ dự án đúng tiến độ.
UBND xã Phước Sơn đề nghị các thôn, ban ngành, đoàn thể phối hợp tuyên truyền, vận động người dân chấp hành chủ trương, chính sách của Nhà nước; đồng thời hướng dẫn, hỗ trợ các hộ dân trong quá trình di dời, thu hoạch, bàn giao mặt bằng.
Dự án đường cao tốc Bắc – Nam phía Tây là công trình trọng điểm quốc gia, có ý nghĩa đặc biệt quan trọng trong phát triển hạ tầng giao thông, thúc đẩy phát triển kinh tế – xã hội của địa phương. UBND xã mong muốn bà con nhân dân đồng thuận, chung tay cùng chính quyền địa phương thực hiện tốt công tác giải phóng mặt bằng, góp phần sớm hoàn thành dự án theo kế hoạch.
UBND xã Phước Sơn trân trọng thông báo!
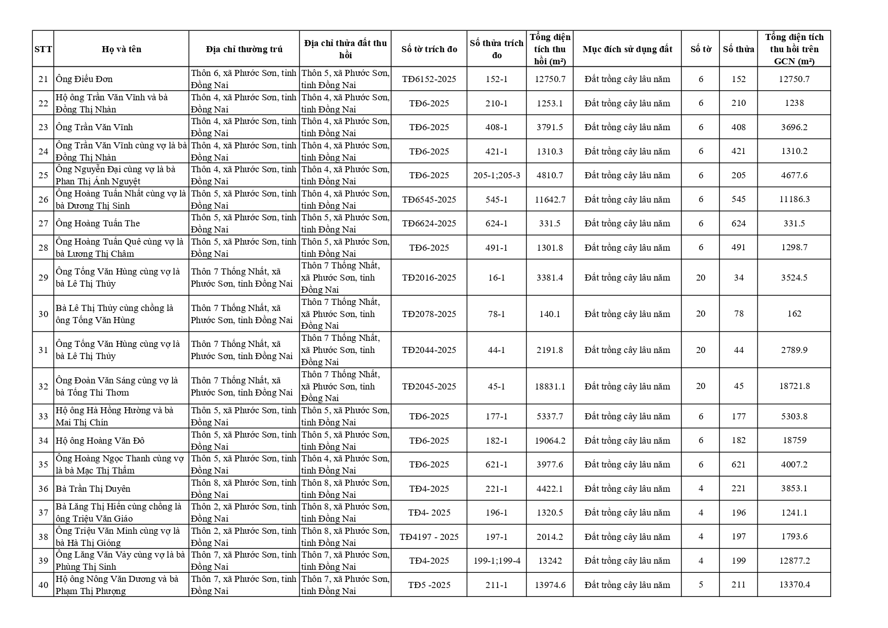
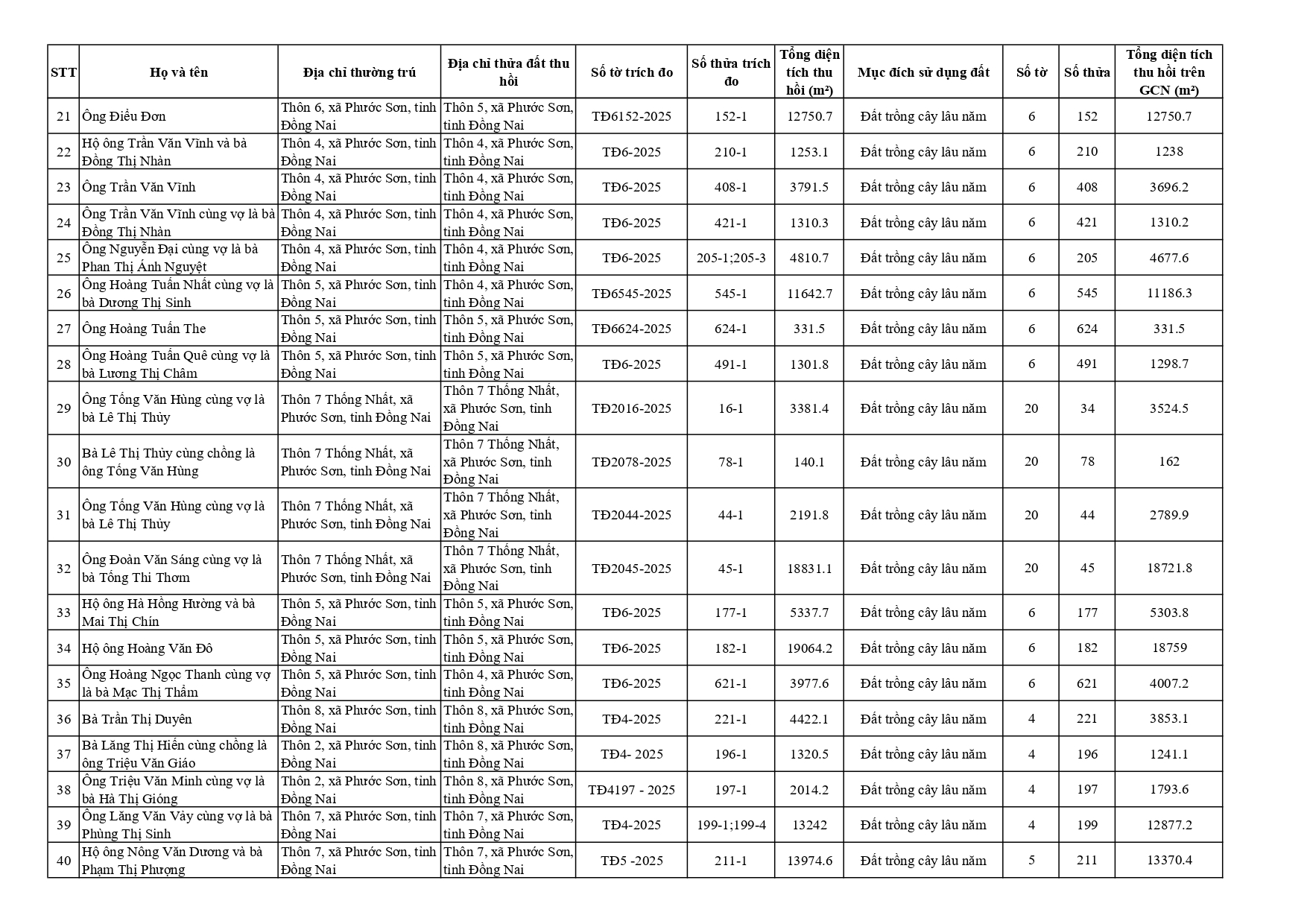
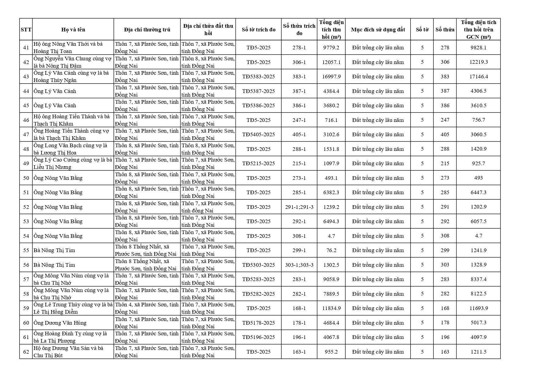
Dưới đây là danh sách các hộ dân đã được phê duyệt phương án bồi thường (đợt 1)



